基本信息:
中文名稱 [1,1-聯(lián)苯]-2,4-二羧酸
英文名稱 2-(4-carboxyphenyl)benzoic acid
英文別名 2,4''-biphenyl-dicarboxylate acid;2,4''-H2bpdc;[1,1''-Biphenyl]-2,4''-dicarboxylic acid;biphenyl-2,4''-dicarboxylic acid;2,4''-Biphenyldicarboxylic Acid;
CAS號 606-80-4
合成路線:
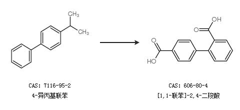
1.通過4-異丙基聯(lián)苯合成[1,1-聯(lián)苯]-2,4-二羧酸

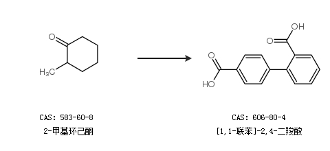
2.通過2-甲基環(huán)己酮合成[1,1-聯(lián)苯]-2,4-二羧酸

中華試劑網(wǎng)提醒 合成路線僅供參考