基本信息:
中文名稱 2-(5-巰基-1,3,4-噻二唑-2-硫基)丙酸
中文別名 2-(5-巰基-1,3,4-噻二唑-2-硫代)-丙酸;2-(5-疏基-1,3,4-噻二唑-2-硫代)丙酸;(5-巰基-1,3,4-噻二唑-2-基硫代)丙酸;
英文名稱 2-[(2-sulfanylidene-3H-1,3,4-thiadiazol-5-yl)sulfanyl]propanoic acid
英文別名 2-(5-Mercapto-1,3,4-thiadiazol-2-ylthio);2-(5-Mercapto-1,3,4-thiadiazol-2-ylthio)-propionic acid;2-(5-sulfanyl-1,3,4-thiadiazol-2-ylthio)propanoic acid;2-(3,5-DIMETHYL-4-NITRO-PYRAZOL-1-YL)-PROPIONICACID ETHYL ESTER;2-(5-thioxo-4,5-dihydro-[1,3,4]thiadiazol-2-ylsulfanyl)-propionic acid;
CAS號 60725-23-7
合成路線:
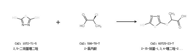
1.通過2,5-二巰基噻二唑和2-氯丙酸合成2-(5-巰基-1,3,4-噻二唑-2-硫基)丙酸

中華試劑網(wǎng)提醒 合成路線僅供參考