基本信息:
中文名稱 5-碘-3-苯并呋喃酮
中文別名 5-碘-3(2H)-苯并呋喃;
英文名稱 5-iodo-1-benzofuran-3-one
英文別名 3(2H)-Benzofuranone,5-iodo;5-iodobenzofuran-3(2H)-one;5-Iod-3-oxo-2H-benzofuran;5-Iodo-3(2H)-benzofuranone;5-Iod-2H-benzofuran-3-on;
CAS號 60770-51-6
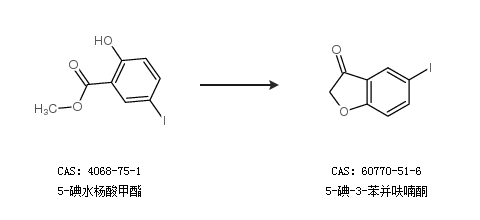
合成路線:
1.通過5-碘水楊酸甲酯合成5-碘-3-苯并呋喃酮

中華試劑網(wǎng)提醒 合成路線僅供參考