基本信息:
中文名稱 鄰苯二酚-4-磺酸銨
英文名稱 azane,3,4-dihydroxybenzenesulfonic acid
英文別名 3,4-Dihydroxy-benzolsulfonsaeure,Ammoniumsalz;3,4-dihydroxy-benzenesulfonic acid,ammonium salt;3,4-bis(oxidanyl)benzenesulfonic acid;
CAS號(hào) 6099-56-5
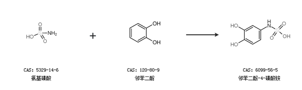
合成路線:
1.通過(guò)氨基磺酸和鄰苯二酚合成鄰苯二酚-4-磺酸銨

中華試劑網(wǎng)提醒 合成路線僅供參考