基本信息:
中文名稱 4-氯-3-硝基苯酚
中文別名 4-氯-3-硝基苯;
英文名稱 4-Chloro-3-nitrophenol
英文別名 3-nitro-4-chlorophenol;Phenol,4-chloro-3-nitro;2-chloro-5-hydroxy nitrobenzene;4-Chlor-3-nitro-phenol;2-nitro-4-hydroxy-1-chlorobenzene;4-chloro-3-nitro-phenol;4-Chlor-3-nitro-1-hydroxy-benzol;
CAS號 610-78-6
合成路線:
1.通過4-氯-3-硝基苯甲醚合成4-氯-3-硝基苯酚,收率約94%;

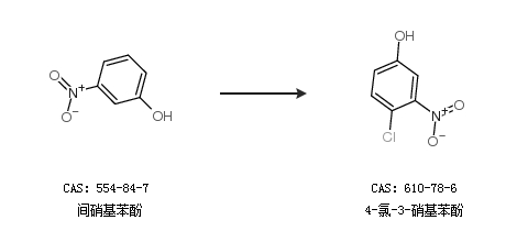
2.通過間硝基苯酚合成4-氯-3-硝基苯酚

中華試劑網(wǎng)提醒 合成路線僅供參考