基本信息:
中文名稱 3,3''-二甲基聯(lián)苯-4,4''-二醇
英文名稱 4-(4-hydroxy-3-methylphenyl)-2-methylphenol
英文別名 4,4''-Bi-o-cresol;2,2''-dimethyl-4,4''-biphenol;3,4''-biphenol;4,4''-dihydroxy-3,3''-dimethylbiphenyl;3,3''-Dimethyl-biphenyl-4,4''-diol;3,3''-dimethyl-4,4''-dihydroxy-biphenyl;3,4''-biphenyldiol;4,4''-dihydroxy-3,3''-dimethyldiphenyl;
CAS號(hào) 612-84-0
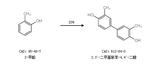
合成路線:
1.通過2-甲酚合成3,3''-二甲基聯(lián)苯-4,4''-二醇,收率約20%;

2.通過2-甲酚合成3,3''-二甲基聯(lián)苯-4,4''-二醇,收率約20%;

中華試劑網(wǎng)提醒 合成路線僅供參考