基本信息:
中文名稱 順式白藜蘆醇
英文名稱 5-[(Z)-2-(4-hydroxyphenyl)ethenyl]benzene-1,3-diol
英文別名 cis-resveratrol;3,4'',5-trihydroxystilbene;Resveratrol,Z;3,5,4''-trihydroxy-stilbene;Tocris-1418;cis-3,4'',5-trihydroxystilbene;
CAS號(hào) 61434-67-1
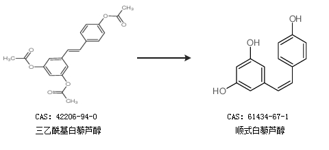
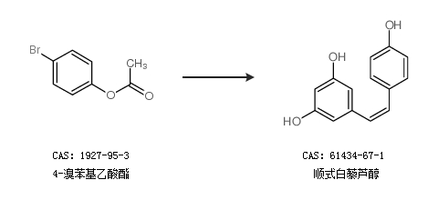
合成路線:
1.通過(guò)三乙?;邹继J醇合成順式白藜蘆醇

2.通過(guò)4-溴苯基乙酸酯合成順式白藜蘆醇

中華試劑網(wǎng)提醒 合成路線僅供參考