基本信息:
中文名稱 2,2-二乙氧基乙醇
中文別名 2,2-二乙氧基乙烷;二乙氧基乙醇;
英文名稱 2,2-Diethoxyethanol
英文別名 2,2-diethoxy 1-ethanol;Ethanol,2,2-diethoxy;2'',2''-diethoxyethanol;2,2-diethoxyethan-1-ol;Ethanol,2-diethoxy;glycoaldehyde diethyl acetal;Glycolaldehyde diethyl acetal;Glykolaldehyddiethylacetal;
CAS號(hào) 621-63-6
合成路線:
1.通過(guò)2,2-二乙氧基乙酸乙酯合成2,2-二乙氧基乙醇,收率約90%;

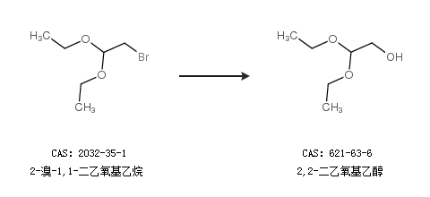
2.通過(guò)2-溴-1,1-二乙氧基乙烷合成2,2-二乙氧基乙醇

中華試劑網(wǎng)提醒 合成路線僅供參考