基本信息:
中文名稱 苯六甲酸六甲酯
中文別名 苯六甲酸六甲基酯;
英文名稱 hexamethyl benzene-1,2,3,4,5,6-hexacarboxylate
英文別名 Mellitic Acid Hexamethyl Ester;benzene-1,2,3,4,5,6-hexacarboxylic acid hexamethyl ester;Hexamethyl benzenehexacarboxylate;Hexamethyl mellitate;benzenehexacarboxylic acid hexamethyl ester;
CAS號 6237-59-8
合成路線:
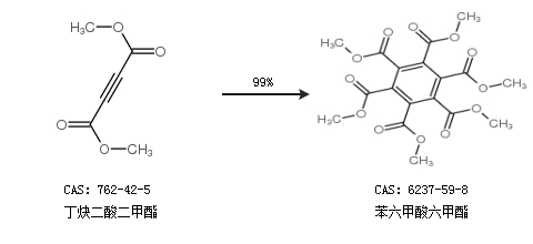
1.通過丁炔二酸二甲酯合成苯六甲酸六甲酯,收率約99%;

2.通過3-己炔和丁炔二酸二甲酯合成苯六甲酸六甲酯,收率約9%;

中華試劑網(wǎng)提醒 合成路線僅供參考