基本信息:
中文名稱 5-(乙氨基)-尿嘧啶
英文名稱 5-(ethylamino)-1H-pyrimidine-2,4-dione
英文別名 5-Aethylamino-1H-pyrimidin-2,4-dion;5-Ethylamino-uracil;5-(ETHYLAMINO)-2,4(1H,3H)-PYRIMIDINEDIONE;5-ethylamino-1H-pyrimidine-2,4-dione;
CAS號 6339-10-2
合成路線:
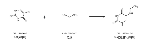
1.通過5-溴尿嘧啶和乙胺合成5-(乙氨基)-尿嘧啶

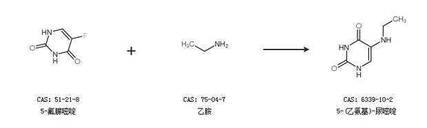
2.通過5-氟脲嘧啶和乙胺合成5-(乙氨基)-尿嘧啶

中華試劑網(wǎng)提醒 合成路線僅供參考