基本信息:
中文名稱 2,5-二溴甲基對苯二甲腈
中文別名 1,4-雙(溴甲基)-2,5-二氰基苯;
英文名稱 2,5-bis(bromomethyl)benzene-1,4-dicarbonitrile
英文別名 2,5-Bis-brommethyl-terephthalonitril;2.5-Bis-brommethyl-1.4-dicyan-benzol;2.5-Dicyan-p-xylyenbromid;
CAS號 64746-04-9
合成路線:
1.通過2,5-二甲基對苯二腈合成2,5-二溴甲基對苯二甲腈

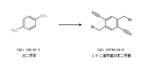
2.通過對二甲苯合成2,5-二溴甲基對苯二甲腈

中華試劑網提醒 合成路線僅供參考