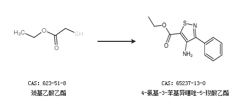
基本信息:
中文名稱 4-氨基-3-苯基異噻唑-5-羧酸乙酯
中文別名 乙基 4-氨基-3-phenylisothiazole-5-甲酸叔丁酯;
英文名稱 Ethyl 4-amino-3-phenyl-1,2-thiazole-5-carboxylate
英文別名 Ethyl-3-phenyl-4-aminoisothiazole-5-carboxylate;4-amino-3-phenyl-isothiazole-5-carboxylic acid ethyl ester;4-Amino-3-phenylisothiazol-5-carbonsaeure-ethylester;Ethyl 4-amino-3-phenylisothiazole-5-carboxylate;4-Amino-3-phenyl-5-isothiazolecarboxylic acid ethyl este;
CAS號 65237-13-0
合成路線:
1.通過巰基乙酸乙酯合成4-氨基-3-苯基異噻唑-5-羧酸乙酯

中華試劑網(wǎng)提醒 合成路線僅供參考