基本信息:
中文名稱 2-氨基-5-溴-2,6-二氟苯甲酮
中文別名 2-氨基-5-溴-2'',6''-二氟二苯甲酮;
英文名稱 (2-amino-5-bromophenyl)-(2,6-difluorophenyl)methanone
英文別名 (2-amino-5-bromophenyl)(2,6-difluorophenyl)methanone;2-AMINO-5-BROMO-2'',6''-DIFLUORO BENZOPHENONE;
CAS號 660450-79-3
合成路線:
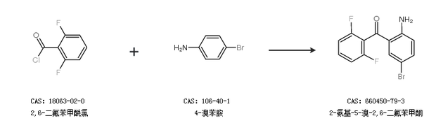
1.通過2,6-二氟苯甲酰氯和4-溴苯胺合成2-氨基-5-溴-2,6-二氟苯甲酮

中華試劑網(wǎng)提醒 合成路線僅供參考