基本信息:
中文名稱 2,3-二硝基苯酚
中文別名 2,3-二硝基酚;
英文名稱 2,3-dinitrophenol
英文別名 HOC6H3(NO2)2-2.3;2,3-DINITROPHENOL;anti-dinitrophenol;2,3-dinitro-phenol;2,3-DNP;2,3-Dinitrofenol [Czech];Phenol,2,3-dinitro;di-nitro-phenol;2.3-Dinitro-1-hydroxy-benzol;
CAS號(hào) 66-56-8
合成路線:
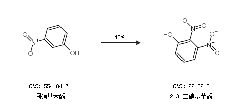
1.通過(guò)間硝基苯酚合成2,3-二硝基苯酚,收率約45%;

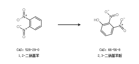
2.通過(guò)1,2-二硝基苯合成2,3-二硝基苯酚

中華試劑網(wǎng)提醒 合成路線僅供參考