基本信息:
中文名稱 雙(2,4,6-三溴苯基)碳酸鹽
英文名稱 bis(2,4,6-tribromophenyl) carbonate
英文別名 EINECS 268-053-4;Phenol,2,4,6-tribromo-,1,1''-carbonate;Phenol,2,4,6-tribromo-,carbonate (2:1);
CAS號(hào) 67990-32-3
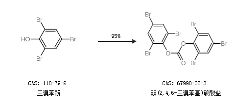
合成路線:
1.通過三溴苯酚合成雙(2,4,6-三溴苯基)碳酸鹽,收率約95%;

中華試劑網(wǎng)提醒 合成路線僅供參考