基本信息:
中文名稱 1,3-二羥基萘-2-甲酸乙酯
中文別名 1,3-二羥基-2-萘酸乙酯;1,3-二羥基-2-萘甲酸乙酯;
英文名稱 ethyl 1,3-dihydroxynaphthalene-2-carboxylate
英文別名 Naphthoresorcin-carbonsaeure-(2)-ethylester;1,3-Dihydroxy-2-naphthalenecarboxylic acid ethyl ester;ethyl 1,3-dihydroxy-2-naphthoate;1,3-Dihydroxy-naphthalin-carbonsaeure-(2)-ethylester;1,3-Dihydroxy-[2]naphthoesaeure-aethylester;ethyl 1,3-dihydroxynaphthoate;F0118-0027;1,3-dihydroxy-[2]naphthoic acid ethyl ester;1,3-dihydroxy-naphthalene-2-carboxylic acid ethyl ester;
CAS號 6843-89-6
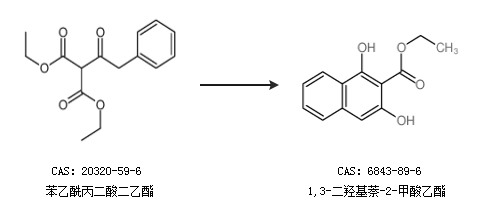
合成路線:
1.通過苯乙酰丙二酸二乙酯合成1,3-二羥基萘-2-甲酸乙酯

中華試劑網(wǎng)提醒 合成路線僅供參考