基本信息:
中文名稱 4-氯-1-[三(1-甲基乙基)硅酯]-1H-吡咯并[2,3-B]吡啶-5-醇
英文名稱 4-chloro-1-tri(propan-2-yl)silylpyrrolo[2,3-b]pyridin-5-ol
英文別名 4-chloro-1-triisopropylsilanyl-1H-pyrrolo[2,3-b]pyridin-5-ol;4-chloro-5-hydroxy-1-triisopropylsilanyl-7-azaindole;1H-PYRROLO[2,3-B]PYRIDIN-5-OL,4-CHLORO-1-[TRIS(1-METHYLETHYL)SILYL];4-Chloro-1-(triisopropylsilyl)-1H-pyrrolo[2,3-b]pyridin-5-ol;
CAS號 685513-98-8
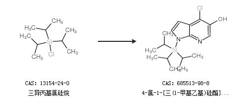
合成路線:
1.通過4-氯-1-[三(甲基乙基)硅酯]-1H-吡咯并[2,3-B]吡啶合成4-氯-1-[三(1-甲基乙基)硅酯]-1H-吡咯并[2,3-B]吡啶-5-醇,收率約66%;

2.通過三異丙基氯硅烷合成4-氯-1-[三(1-甲基乙基)硅酯]-1H-吡咯并[2,3-B]吡啶-5-醇

中華試劑網(wǎng)提醒 合成路線僅供參考