基本信息:
中文名稱 二乙二醇二硝酸酯
中文別名 硝化二乙二醇;
英文名稱 2-(2-nitrooxyethoxy)ethyl nitrate
英文別名 Oxydiethylene dinitrate;Diethyleneglycol dinitrate;ETHANOL,2,2''-OXYBIS-,DINITRATE;O,O''-Dinitro-diaethylenglykol;
CAS號 693-21-0
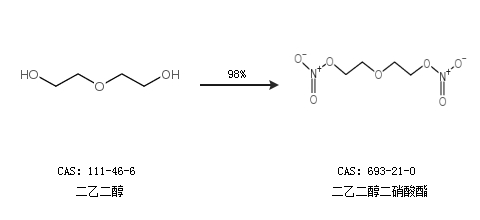
合成路線:
1.通過2,2''-二溴二乙醚合成二乙二醇二硝酸酯,收率約95%;

2.通過二乙二醇合成二乙二醇二硝酸酯,收率約98%;

中華試劑網提醒 合成路線僅供參考