基本信息:
中文名稱 N,N-二乙基-2-甲氧基乙酰胺
英文名稱 N,N-DIETHYL-2-METHOXYACETAMIDE
英文別名 Acetamide,N,N-diethyl-2-methoxy;N,N-Dimethylmethoxyacetamid;2-methoxy-N,N-diethyl-acetamide;N,N-Diethyl-a-methoxyacetamide;
CAS號(hào) 70814-00-5
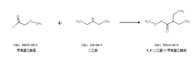
合成路線:
1.通過(guò)甲醇合成N,N-二乙基-2-甲氧基乙酰胺

2.通過(guò)甲氧基乙酰氯和二乙胺合成N,N-二乙基-2-甲氧基乙酰胺

中華試劑網(wǎng)提醒 合成路線僅供參考