基本信息:
中文名稱 Boc-β-氯-L-丙氨酸
英文名稱 (2R)-3-chloro-2-[(2-methylpropan-2-yl)oxycarbonylamino]propanoic acid
英文別名 L-Alanine,3-chloro-N-[(1,1-dimethylethoxy)carbonyl];(2R)-2-[(tert-butoxycarbonyl)amino]-3-chloropropanoic acid;N-(tert-butoxycarbonyl)-3-chloro-L-alanine;BOC-3-CHLORO-L-ALANINE;
CAS號 71404-98-3
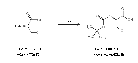
合成路線:
1.通過3-氯-L-丙氨酸合成Boc-β-氯-L-丙氨酸,收率約84%;

2.通過3-氯-L-丙氨酸和2-(叔丁氧羰基氧亞氨基)-2-苯乙腈合成Boc-β-氯-L-丙氨酸,收率約35%;

中華試劑網(wǎng)提醒 合成路線僅供參考