基本信息:
中文名稱 1,4-二氯-2-甲基-5-硝基苯
英文名稱 1,4-dichloro-2-methyl-5-nitrobenzene
英文別名 2,5-Dichloro-4-methyl-nitrobenzene;2,5-Dichlor-4-nitro-toluol;2,5-dichloro-4-nitro-toluene;
CAS號(hào) 7149-76-0
合成路線:
1.通過2,5-二氯甲苯合成1,4-二氯-2-甲基-5-硝基苯,收率約54%;

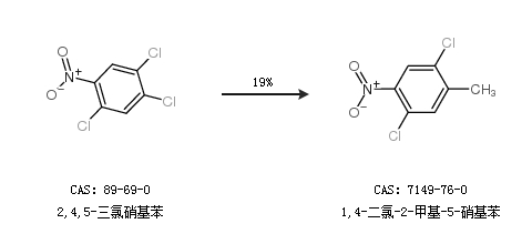
2.通過2,4,5-三氯硝基苯合成1,4-二氯-2-甲基-5-硝基苯,收率約19%;

中華試劑網(wǎng)提醒 合成路線僅供參考