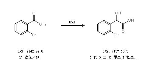
基本信息:
中文名稱 1-[3,5-二-(1-甲基-1-氰基)乙基]芐基-1,2,4三氮唑,啊那曲唑
中文別名 2-溴扁桃酸;(R)-2-溴扁桃酸;
英文名稱 2-(2-Bromophenyl)-2-hydroxyacetic acid
英文別名 2-(2-bromophenyl)-2-hydroxyacetic acid;
CAS號 7157-15-5
合成路線:
1.通過2-溴苯乙酮合成1-[3,5-二-(1-甲基-1-氰基)乙基]芐基-1,2,4三氮唑,啊那曲唑,收率約66%;

2.通過2''-溴苯乙酮合成1-[3,5-二-(1-甲基-1-氰基)乙基]芐基-1,2,4三氮唑,啊那曲唑,收率約85%;

中華試劑網(wǎng)提醒 合成路線僅供參考