基本信息:
中文名稱 N-(四氫-2-呋喃甲基)-1-乙胺
中文別名 N-(四氫呋喃-2-基甲基)乙胺;
英文名稱 N-(oxolan-2-ylmethyl)ethanamine
英文別名 Aethyl-tetrahydrofurfuryl-amin;tetrahydrofurfurylethylamine;N-Ethyltetrahydrofurfurylamine;ethyl-tetrahydrofurfuryl-amine;Ethyl-tetrahydrofurfuryl-amin;
CAS號 7179-86-4
合成路線:
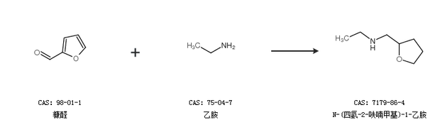
1.通過糠醛和乙胺合成N-(四氫-2-呋喃甲基)-1-乙胺

2.通過四氫糠醇和乙腈合成N-(四氫-2-呋喃甲基)-1-乙胺,收率約54%;

中華試劑網(wǎng)提醒 合成路線僅供參考