基本信息:
中文名稱 4-甲基噻唑-2-甲酸乙酯
中文別名 乙基4-甲基噻唑-2-甲酸酯;
英文名稱 ethyl 4-methyl-1,3-thiazole-2-carboxylate
英文別名 Ethyl 4-methylthiazole-2-carboxylate;4-Methylthiazole-2-carboxylic acid ethyl ester;4-Methylthiazol-2-carbonsaeure-ethylester;4-Methyl-thiazol-2-carbonsaeure-aethylester;4-Methyl-2-Thiazolecarboxylic Acid Ethyl Ester;
CAS號(hào) 7210-73-3
合成路線:
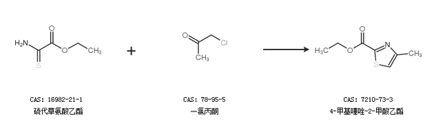
1.通過硫代草氨酸乙酯和一氯丙酮合成4-甲基噻唑-2-甲酸乙酯

2.通過硫代草氨酸乙酯和丙酮合成4-甲基噻唑-2-甲酸乙酯

中華試劑網(wǎng)提醒 合成路線僅供參考