基本信息:
中文名稱 5-[[7-[3-[乙基(2-羥基乙基)氨基]丙氧基]-4-喹唑啉]氨基]-N-(3-氟苯基)-1H-吡唑-3-乙酰胺
中文別名 多西他賽;
英文名稱 2-{3-[(7-[3-[ethyl(2-hydroxyethyl)amino]propoxy]-quinazolin-4-yl)amino]-1H-pyrazol-5-yl}-N-(3-fluorophenyl)acetamide
英文別名 INH 34;Barasertib;AZD1152-HQPA;
CAS號(hào) 722544-51-6
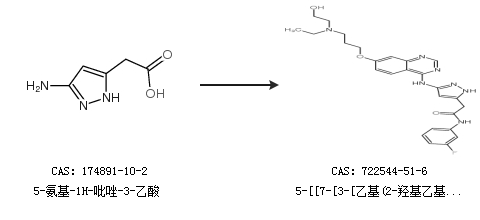
合成路線:
1.通過(guò)乙基羥乙胺合成5-[[7-[3-[乙基(2-羥基乙基)氨基]丙氧基]-4-喹唑啉]氨基]-N-(3-氟苯基)-1H-吡唑-3-乙酰胺,收率約82%;

2.通過(guò)5-氨基-1H-吡唑-3-乙酸合成5-[[7-[3-[乙基(2-羥基乙基)氨基]丙氧基]-4-喹唑啉]氨基]-N-(3-氟苯基)-1H-吡唑-3-乙酰胺

中華試劑網(wǎng)提醒 合成路線僅供參考