基本信息:
中文名稱 7-Boc-3-溴-5,6,7,8-四氫-1,2,4-三唑并[4,3-a]吡嗪
中文別名 3-溴-7-Boc-5,6,7,8-四氫-[1,2,4]三唑并[4,3-a]吡嗪;3-溴-5,6-二氫-[1,2,4]三唑并[4,3-a]吡嗪-7(8H)-甲酸叔丁酯;
英文名稱 7-Boc-3-bromo-5,6,7,8-tetrahydro-1,2,4-triazolo[4,3-a]pyrazine
英文別名 tert-butyl 3-bromo-6,8-dihydro-5H-[1,2,4]triazolo[4,3-a]pyrazine-7-carboxylate;
CAS號(hào) 723286-80-4
合成路線:
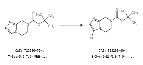
1.通過(guò)7-Boc-5,6,7,8-四氫-1,2,4-三唑并[4,3-a]吡嗪合成7-Boc-3-溴-5,6,7,8-四氫-1,2,4-三唑并[4,3-a]吡嗪

中華試劑網(wǎng)提醒 合成路線僅供參考