基本信息:
中文名稱 (S)-1-CBZ-2-吡咯烷乙氰
中文別名 (S)-1-cbz-2-氰基甲基吡咯烷;
英文名稱 benzyl (2S)-2-(cyanomethyl)pyrrolidine-1-carboxylate
英文別名 (S)-1-CBZ-2-CYANOMETHYLPYRROLIDINE;(S)-Benzyl 2-(cyanomethyl)pyrrolidine-1-carboxylate;
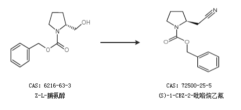
CAS號 72500-25-5
合成路線:
1.通過氰化鈉合成(S)-1-CBZ-2-吡咯烷乙氰,收率約91%;

2.通過Z-L-脯氨醇合成(S)-1-CBZ-2-吡咯烷乙氰

中華試劑網(wǎng)提醒 合成路線僅供參考