基本信息:
中文名稱 2-甲基喹喔啉
中文別名 2-甲基喹惡啉;
英文名稱 2-Methylquinoxaline
英文別名 methylquinoxaline,2-methylchinoxaline;2-Methylbenzopyrazine;2-methyl-quinoxalin;Quinoxaline,2-methyl;2-Methylquinoxaline,~;3-Methylquinoxaline;2-methylchinoxaline;2-Methyl-chinoxalin;
CAS號 7251-61-8
合成路線:
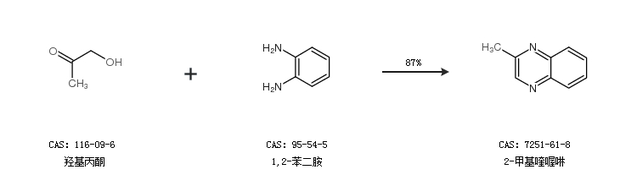
1.通過羥基丙酮和1,2-苯二胺合成2-甲基喹喔啉,收率約87%;

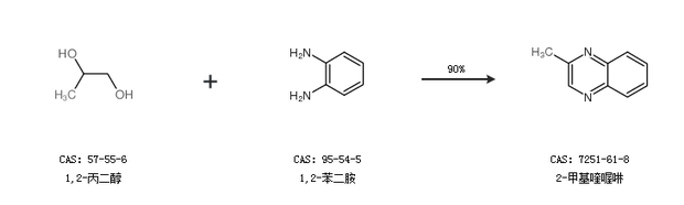
2.通過1,2-丙二醇和1,2-苯二胺合成2-甲基喹喔啉,收率約90%;

中華試劑網(wǎng)提醒 合成路線僅供參考