基本信息:
中文名稱 6,7-二氯-3-甲基-3,4-二氫喹喔啉-2(1H)-酮
英文名稱 6,7-dichloro-3-methyl-3,4-dihydro-1H-quinoxalin-2-one
英文別名 6,7-dichloro-1,2-dihydro-3-methyl-2-oxoquinoxaline;6,7-dichloro-3-methylquinoxalin-2-ol;6,7-dichloro-3-methyl-1H-quinoxalin-2-one;
CAS號 73148-15-9
合成路線:
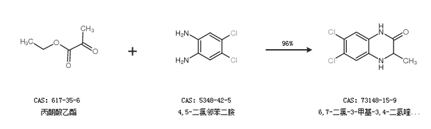
1.通過丙酮酸乙酯和4,5-二氯鄰苯二胺合成6,7-二氯-3-甲基-3,4-二氫喹喔啉-2(1H)-酮,收率約96%;

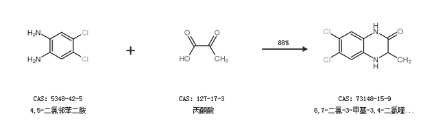
2.通過4,5-二氯鄰苯二胺和丙酮酸合成6,7-二氯-3-甲基-3,4-二氫喹喔啉-2(1H)-酮,收率約88%;

中華試劑網(wǎng)提醒 合成路線僅供參考