基本信息:
中文名稱 (5AS,10BR)-(-)-5A,10B-二氫-2-(五氟苯基)-4H,6H-茚[2,1-B][1,2,4]三唑[4,3-D][1,4]醇四氟硼酸惡嗪
英文名稱 2-Pentafluorophenyl-6.10b-dihydro-4H,5aH-5-oxo-3,10c-diaza-2-azoniacyclopenta[c]fluorene tetrafluoroborate
英文別名 Rovis triazolium catalyst;
CAS號 740816-14-2
合成路線:
1.通過嗎啉-2-酮、原甲酸三乙酯、氯苯和五氨基氟丙基氫氧吡啶合成(5AS,10BR)-(-)-5A,10B-二氫-2-(五氟苯基)-4H,6H-茚[2,1-B][1,2,4]三唑[4,3-D][1,4]醇四氟硼酸惡嗪,收率約69%;

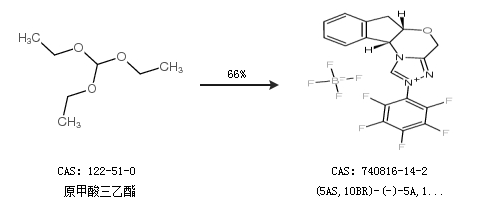
2.通過原甲酸三乙酯合成(5AS,10BR)-(-)-5A,10B-二氫-2-(五氟苯基)-4H,6H-茚[2,1-B][1,2,4]三唑[4,3-D][1,4]醇四氟硼酸惡嗪,收率約66%;

中華試劑網(wǎng)提醒 合成路線僅供參考