基本信息:
中文名稱 4-[3,6-二氫-6-羥基-5-[4-甲基-6-(2,6,6-三甲基-1-環(huán)己烯-1-基)-3-己烯基]-2H-吡喃-2-基]-5-羥基-2(5H)-呋喃酮
中文別名 4-[3,6-二氫-6-羥基-5-[4-甲基-6-(2,6,6-三甲基-1-環(huán)己烯-1-基)-3-己烯基]-2H-吡喃-2;
英文名稱 manoalide
英文別名 (2R)-2-hydroxy-3-[(2R,6R)-6-hydroxy-5-[(E)-4-methyl-6-(2,6,6-trimethylcyclohexen-1-yl)hex-3-enyl]-3,6-dihydro-2H-pyran-2-yl]-2H-furan-5-one;
CAS號(hào) 75088-80-1
合成路線:
1.通過(guò)BETA-二氫紫羅蘭酮合成4-[3,6-二氫-6-羥基-5-[4-甲基-6-(2,6,6-三甲基-1-環(huán)己烯-1-基)-3-己烯基]-2H-吡喃-2-基]-5-羥基-2(5H)-呋喃酮

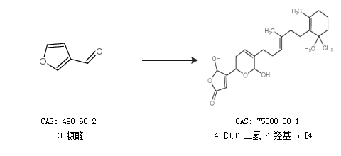
2.通過(guò)3-糠醛合成4-[3,6-二氫-6-羥基-5-[4-甲基-6-(2,6,6-三甲基-1-環(huán)己烯-1-基)-3-己烯基]-2H-吡喃-2-基]-5-羥基-2(5H)-呋喃酮

中華試劑網(wǎng)提醒 合成路線僅供參考