基本信息:
中文名稱 5,6-二氯煙酰胺
英文名稱 5,6-dichloropyridine-3-carboxamide
英文別名 dichloropyridinecarboxamide;5,6-Dichloronicotinamide;5,6-dichloro-nicotinic acid amide;5,6-dichloro-3-pyridinecarboxamide;5,6-Dichlor-nicotinsaeure-amid;3-Pyridinecarboxamide,5,6-dichloro;
CAS號 75291-84-8
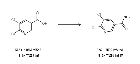
合成路線:
1.通過5,6-二氯煙酸合成5,6-二氯煙酰胺

中華試劑網(wǎng)提醒 合成路線僅供參考