基本信息:
中文名稱 2,2’-(4-氨基苯基亞氨基)二乙醇
英文名稱 2-[4-amino-N-(2-hydroxyethyl)anilino]ethanol
英文別名 4-[di(2-hydroxyethyl)amino]-aniline;4-amino-N,N-di-hydroxyethyl aniline;2,2''-(P-AMINOPHENYLIMINO)DIETHANOL;2,2''-(4-Aminophenylimino)diethanol;2-[(4-aminophenyl)(2-hydroxyethyl)amino]ethan-1-ol;2-[(4-Amino-phenyl)-(2-hydroxy-ethyl)-amino]-ethanol;N,N-[bis-(2-hydroxyethyl)]-p-phenylenediamine;
CAS號 7575-35-1
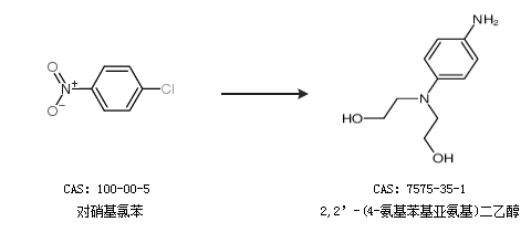
合成路線:
1.通過N-(4-硝基苯基)二乙醇胺合成2,2’-(4-氨基苯基亞氨基)二乙醇,收率約96%;

2.通過對硝基氯苯合成2,2’-(4-氨基苯基亞氨基)二乙醇

中華試劑網(wǎng)提醒 合成路線僅供參考