基本信息:
中文名稱(chēng) 1,1,4,4,7,7,10,10-八甲基-2,3,4,7,8,9,10,12-八氫-1H-二苯并[b,h]芴
英文名稱(chēng) 1,1,4,4,7,7,10,10-octamethyl-1,2,3,4,7,8,9,10-octahydrodibenzo[b,h]fluorene
英文別名 1,1,4,4,7,7,10,10-octamethyl-1,2,3,4,7,8,9,10-octahydrodibenzo(b,h)-fluorene;octamethyloctahydrodibenzofluorene;1,1,4,4,7,7,10,10-Octamethyl-2,3,4,7,8,9,10,12-octahydro-1H-dibenzo[b,h]fluorene;12H-1,1,4,4,7,7,10,10-octamethyloctahydrodibenzo[b,h]fluorene;
CAS號(hào) 77308-48-6
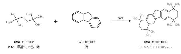
合成路線:
1.通過(guò)2,5-二甲基-2,5-己二醇和芴合成1,1,4,4,7,7,10,10-八甲基-2,3,4,7,8,9,10,12-八氫-1H-二苯并[b,h]芴,收率約52%;

2.通過(guò)芴和2,5-二氯-2,5-二甲基己烷合成1,1,4,4,7,7,10,10-八甲基-2,3,4,7,8,9,10,12-八氫-1H-二苯并[b,h]芴,收率約87%;

中華試劑網(wǎng)提醒 合成路線僅供參考