基本信息:
中文名稱 3,6-二甲基-4-辛炔-3,6-二醇
中文別名 3,6-二羥-3,6-二甲-4-辛炔;3,6-二甲-4-辛炔-3,6-二醇;辛炔二醇;
英文名稱 3,6-Dimethyl-4-octyne-3,6-diol
英文別名 3,6-dimethyloct-4-yne-3,6-diol;
CAS號(hào) 78-66-0
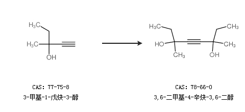
合成路線:
1.通過(guò)2-丁酮和3-甲基-1-戊炔-3-醇合成3,6-二甲基-4-辛炔-3,6-二醇

2.通過(guò)3-甲基-1-戊炔-3-醇合成3,6-二甲基-4-辛炔-3,6-二醇

中華試劑網(wǎng)提醒 合成路線僅供參考