基本信息:
中文名稱 2-聯(lián)苯-4-喹啉-4-羧酸
英文名稱 2-(4-phenylphenyl)quinoline-4-carboxylic acid
英文別名 2-[1,1''-biphenyl]-4-yl-4-quinolinecarboxylic acid;2-p-Biphenylyl-chinolin-4-carbonsaeure;2-(biphenyl-4-yl)quinoline-4-carboxylic acid;2-Biphenyl-4-yl-chinolin-4-carbonsaeure;
CAS號(hào) 78660-92-1
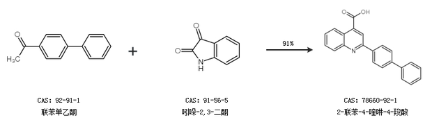
合成路線:
1.通過聯(lián)苯單乙酮和吲哚-2,3-二酮合成2-聯(lián)苯-4-喹啉-4-羧酸,收率約91%;

2.通過苯硼酸合成2-聯(lián)苯-4-喹啉-4-羧酸,收率約96%;

中華試劑網(wǎng)提醒 合成路線僅供參考