基本信息:
中文名稱 (S)-1,4-n-二boc-2-哌嗪-2-羧酸
英文名稱 (S)-1,4-Bis(tert-butoxycarbonyl)piperazine-2-carboxylic acid
英文別名 (S)-1,4-N-Diboc-2-piperazine-2-carboxylic acid;
CAS號(hào) 788799-69-9
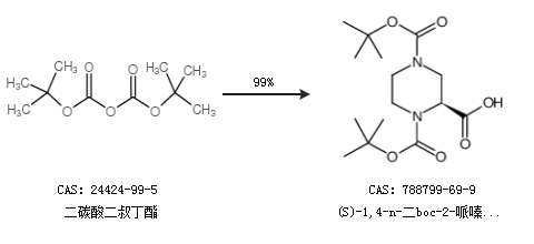
合成路線:
1.通過(S)-哌嗪-2-羧酸合成(S)-1,4-n-二boc-2-哌嗪-2-羧酸,收率約96%;

2.通過二碳酸二叔丁酯合成(S)-1,4-n-二boc-2-哌嗪-2-羧酸,收率約99%;

中華試劑網(wǎng)提醒 合成路線僅供參考