基本信息:
中文名稱 3-氟-5-(3’-吡啶氧基)苯胺
中文別名 3-氟-5-(3-吡咯烷氧基)苯甲胺;
英文名稱 3-fluoro-5-pyridin-3-yloxyaniline
英文別名 A9899;3-Fluoro-5-(pyridin-3-yloxy)aniline;3-fluoro-5-(pyridin-3-yloxy)benzenamine;3-Fluoro-5-(3-pyridinyloxy)benzenamine;3-fluoro-5-(pyridine-3-yloxy)aniline;
CAS號 791644-59-2
合成路線:
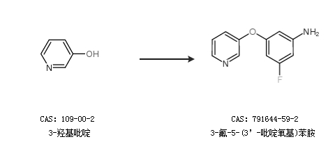
1.通過3-羥基吡啶合成3-氟-5-(3’-吡啶氧基)苯胺

2.通過3,5-二氟硝基苯合成3-氟-5-(3’-吡啶氧基)苯胺

中華試劑網(wǎng)提醒 合成路線僅供參考