基本信息:
中文名稱 5-溴-7-硝基二氫吲哚
中文別名 5-溴-7-硝基-2,3-二氫-1H-吲哚;5-溴-7-硝基吲哚啉;
英文名稱 5-Bromo-7-nitroindoline
英文別名 5-Bromo-7-nitro-2,3-dihydro-1H-indole;Einecs 279-411-4;5-bromo-7-nitro-2,3-dihydro-indole;
CAS號(hào) 80166-90-1
合成路線:
1.通過N-已?;?5-溴-7-硝基吲哚合成5-溴-7-硝基二氫吲哚

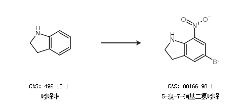
2.通過吲哚啉合成5-溴-7-硝基二氫吲哚

中華試劑網(wǎng)提醒 合成路線僅供參考