基本信息:
中文名稱 4,4’-二氨基-2,2’-二甲基-1,1’-聯(lián)苯
中文別名 2,2''-二甲基聯(lián)苯胺;2,2''-二甲基-4,4''-二氨基聯(lián)苯(M-TB);4,4''-二氨基-2,2''-二甲基聯(lián)苯;2,2''-二甲基-4,4''-二氨基聯(lián)苯(M-TOLIDINE);2,2''-二氯亞肼基苯;
英文名稱 2,2''-Dimethyl[1,1''-biphenyl]-4,4''-diamine
英文別名 4-(4-amino-2-methylphenyl)-3-methylaniline;
CAS號 84-67-3
合成路線:
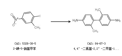
1.通過2-碘-5-硝基甲苯合成4,4’-二氨基-2,2’-二甲基-1,1’-聯(lián)苯

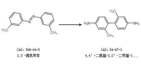
2.通過3,3''-偶氮甲苯合成4,4’-二氨基-2,2’-二甲基-1,1’-聯(lián)苯

中華試劑網(wǎng)提醒 合成路線僅供參考