基本信息:
中文名稱 2,4-二硝基-6-氟甲苯
英文名稱 1-fluoro-2-methyl-3,5-dinitrobenzene
英文別名 2,4-DINITRO-6-FLUOROTOLUENE;1-fluoranyl-2-methyl-3,5-dinitro-benzene;2,4-Dinitro-6-fluor-toluol;Benzene,1-fluoro-2-methyl-3,5-dinitro;
CAS號(hào) 85233-16-5
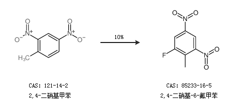
合成路線:
1.通過(guò)2,4-二硝基甲苯合成2,4-二硝基-6-氟甲苯,收率約10%;

中華試劑網(wǎng)提醒 合成路線僅供參考