基本信息:
中文名稱 2-氯-3-哌嗪吡嗪
中文別名 2-氯-3-(1-哌嗪)吡嗪;
英文名稱 2-chloro-3-piperazin-1-ylpyrazine
英文別名 2-chloro-3-(piperazin-1-yl)pyrazine;1-(3-chloropyrazin-2-yl)piperazine;1-(3-Chloro-2-pyrazinyl)piperazine;2-CHLORO-3-(PIPERAZINYL)PYRAZINE;3''-chloro-3,4,5,6-tetrahydro-2H-[1,2'']bipyrazinyl;3''-chloro-3,4,5,6-tetrahydro-2H-[1,2'']bipyrazine;2-chloro-3-(1-piperazinyl)pyrazine;
CAS號 85386-99-8
合成路線:
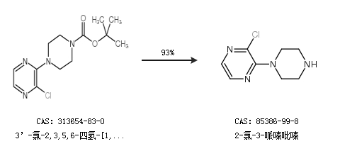
1.通過3’-氯-2,3,5,6-四氫-[1,2’]聯(lián)吡啶-4-羧酸叔丁酯合成2-氯-3-哌嗪吡嗪,收率約93%;

中華試劑網提醒 合成路線僅供參考