基本信息:
中文名稱 2-(四氫呋喃-2-基)-1H-苯并咪唑
中文別名 (9ci)-2-(四氫-2-呋喃)-1H-苯并咪唑;
英文名稱 2-(oxolan-2-yl)-1H-benzimidazole
英文別名 2-(Tetrahydro-furan-2-yl)-1H-benzoimidazole;2-(2-tetrahydrofuryl)benzimidazole;2-(TETRAHYDRO-2-FURANYL)-1H-BENZIMIDAZOLE;2-(tetrahydrofuran-2-yl)-1H-benzo[d]imidazole;2-(oxolan-2-yl)-1H-1,3-benzodiazole;2-benzimidazol-2-yloxolane;
CAS號(hào) 86932-94-7
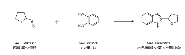
合成路線:
1.通過(guò)四氫呋喃和苯并咪唑合成2-(四氫呋喃-2-基)-1H-苯并咪唑,收率約50%;

2.通過(guò)四氫呋喃-2-甲醛和1,2-苯二胺合成2-(四氫呋喃-2-基)-1H-苯并咪唑

中華試劑網(wǎng)提醒 合成路線僅供參考