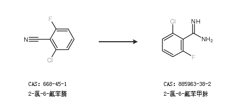
基本信息:
中文名稱 2-氯-6-氟苯甲脒
英文名稱 2-chloro-6-fluorobenzenecarboximidamide
英文別名 Benzenecarboximidamide,2-chloro-6-fluoro;2-Chloro-6-fluorobenzamidine;2-Chloro-6-fluorobenzimidamide;
CAS號(hào) 885963-38-2
合成路線:
1.通過(guò)2-氯-6-氟苯腈合成2-氯-6-氟苯甲脒

中華試劑網(wǎng)提醒 合成路線僅供參考