基本信息:
中文名稱 4-氨基噻吩-2-羧酸
中文別名 4-氨基-2-噻吩羧酸;
英文名稱 4-AMINOTHIOPHENE-2-CARBOXYLIC ACID
英文別名 2-Thiophenecarboxylic acid,4-amino;4-amino-2-thiophenecarboxylic acid;
CAS號 89499-38-7
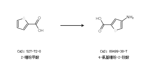
合成路線:
1.通過5-硝基噻吩-2-甲酸合成4-氨基噻吩-2-羧酸,收率約67%;

2.通過2-噻吩甲酸合成4-氨基噻吩-2-羧酸

中華試劑網提醒 合成路線僅供參考