基本信息:
中文名稱 魯比替康
中文別名 9-硝基喜樹堿;4-(S)-乙基-4-羥基-10-硝基-1氫-吡喃并[3’,4’:6,7]氮茚并[1,2,-6]喹啉-3,14(4氫,12氫)-二酮;4-(S)-乙基-4-羥基-10-硝基-1氫-吡喃并[3'',4'':6,7]氮茚并[1,2,-6]喹啉;(4S)-4-乙基-4-羥基-10-硝基-1H-吡喃并[3'',4'':6,7]中氮茚并[1,2-B]喹啉-3,14[4H,12H]-二酮;魯比特康;
英文名稱 9-Nitrocamptothecin
英文別名 Rubitecan;9-NITRO-20(S)-CAMPTOTHECIN;PYRIDOXINE 3,4-DIPALMITATE;1H-PYRANO[3'',4'':6,7]INDOLIZINO[1,2-B]QUINOLINE-3,14(4H,12H)-DIONE,4-ETHYL-4-HYDROXY-10-NITRO-, (4S)-;
CAS號 91421-42-0
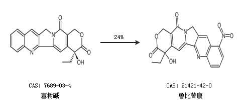
合成路線:
1.通過喜樹堿合成魯比替康,收率約19%;

2.通過喜樹堿合成魯比替康,收率約24%;

中華試劑網(wǎng)提醒 合成路線僅供參考