基本信息:
中文名稱 2-氯-2-甲基丙烷-d9
英文名稱 2-chloro-1,1,1,3,3,3-hexadeuterio-2-(trideuteriomethyl)propane
英文別名 t-Butyl chloride-d9;(2H9)-tert-Butyl chloride;tert-butyl-d9 chloride;perdeutero-tert-butyl chloride;EINECS 213-041-6;2-Chloro-2-methylpropane-d9;tert-d9-butylchloride;2-chloro-1,1,1,3,3,3-hexadeuterio-2-trideuteriomethyl-propane;
CAS號(hào) 918-20-7
合成路線:
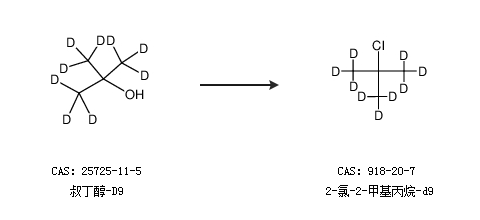
1.通過叔丁醇-D9合成2-氯-2-甲基丙烷-d9

2.通過叔-丁醇-D10合成2-氯-2-甲基丙烷-d9

中華試劑網(wǎng)提醒 合成路線僅供參考