基本信息:
中文名稱 3,3’,4,4’-四溴聯(lián)苯醚
中文別名 3,3,4,4-四溴二苯醚;
英文名稱 1,2-dibromo-4-(3,4-dibromophenoxy)benzene
英文別名 3,3'',4'',4-TetraBDE;3,3'',4,4''-tetrabromodiphenyl ether;3,3 inverted exclamation marka,4,4 inverted exclamation marka-Tetrabromodiphenyl ether solution;3,3 inverted exclamation marka,4,4 inverted exclamation marka-TetraBDE;Benzene,1,1''-oxybis[3,4-dibromo;PBDE 77;BDE No 77 solution;3,3'',4'',4-Tetrabromodiphenyl ether solution;
CAS號(hào) 93703-48-1
合成路線:
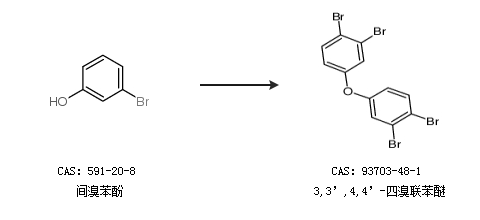
1.通過間溴苯酚合成3,3’,4,4’-四溴聯(lián)苯醚

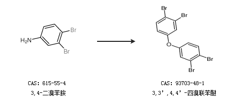
2.通過3,4-二溴苯胺合成3,3’,4,4’-四溴聯(lián)苯醚

中華試劑網(wǎng)提醒 合成路線僅供參考