基本信息:
中文名稱 4,5-二氯鄰苯二甲酸酐
中文別名 4,5-二氯苯酐;4,5-二氯苯二甲酸酐;
英文名稱 4,5-DICHLOROPHTHALIC ANHYDRIDE
英文別名 5,6-dichloroisobenzofuran-1,3-dione;4,5-dichloro-phthalic acid anhydride;5,6-dichlorophthalic anhydride;4,5-Dichlor-phthalsaeure-anhydrid;5,6-DICHLORO-1,3-DIHYDROISOBENZOFURAN-1,3-DIONE;5,6-dichloro-1,3-isobenzofurandione;5,6-Dichloro-2-benzofuran-1,3-dione;4,5-Dichlorophalic anhydride;
CAS號 942-06-3
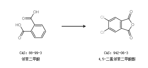
合成路線:
1.通過三氯苯合成4,5-二氯鄰苯二甲酸酐,收率約98%;

2.通過鄰苯二甲酸合成4,5-二氯鄰苯二甲酸酐

中華試劑網(wǎng)提醒 合成路線僅供參考