基本信息:
中文名稱 5-溴-2-羥基-煙酸 叔丁酯
英文名稱 2-Methyl-2-propanyl 5-bromo-2-oxo-1,2-dihydro-3-pyridinecarboxyla te
英文別名 5-bromo-1,2-dihydro-2-oxo-3-pyridinecarboxylic acid,t-butyl ester;
CAS號(hào) 95797-07-2
合成路線:
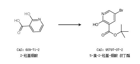
1.通過(guò)2-羥基煙酸合成5-溴-2-羥基-煙酸 叔丁酯

中華試劑網(wǎng)提醒 合成路線僅供參考